- | Financial Markets Financial Markets
- | Public Interest Comments Public Interest Comments
- |
Instead of Limiting Mergers Based on the Number of Banks and Concentration, Limit Mergers Based on Insufficient Capital
I appreciate the opportunity to comment on the initiative of the Federal Deposit Insurance Corporation (FDIC) to receive input concerning the Statement of Policy (SOP) on Bank Merger Transactions. I am a senior research fellow at the Mercatus Center at George Mason University, and my comments reflect my own views and do not represent those of any party or special interest group. My comments specifically reflect concerns I have about recent discourse concerning the negative effects of bank mergers, the declining number of banks, and the alleged role of bank mergers in financial instability.
My comments address questions 7, 8, 17 and 30 in the notice of proposed policy statement. Question 7 concerns changes to the SOP to better reflect present-day competitive conditions, while question 8 concerns the role of the Herfindahl–Hirschman Index (HHI) in merger determinations. Question 17 concerns the FDIC’s evaluation of banks’ financial resources and additional items that should be considered, while question 30 concerns how the FDIC could improve its assessment of a proposed bank merger’s risk to the financial stability of the US banking system.
My comments in response to questions 7 and 8 suggest the following:
- The US has historically had an unusually large number of small banks (and bank failures) because US bank policy, including merger policy, has historically been biased against larger banks and interstate banking; present-day efforts to focus on the local banking market reinforce that bias.
- Because of (a) the historical bias against larger banks and interstate banking and (b) the persisting large number of small banks, which are more prone to failure, the SOP should probably change the HHI threshold for prospective competitive effects, and/or measure it nationally to allow smaller bank mergers to continue. The 1,800 HHI threshold, as well as the view that banking is primarily a local enterprise, probably came about from the historical bias toward small banks, and there is no reason to lower the 1,800 threshold, especially since concentration does not necessarily reflect competition.
My comments in response to questions 17 and 30 suggest the following:
- The SOP could instead focus on ensuring that merger banks have more equity capital funding as a prerequisite for mergers (mergers among banks with little equity capital should be discouraged) such that the future US banking system could be more concentrated but with more highly capitalized banks. Market-based capital measures can also help bank supervisors to spot weak banks sooner and facilitate “prompt and corrective action.”
Failure to consider historical, pre-FDIC data will result in misleading analyses about the impact of the decline in the number of banks due to mergers on the US banking landscape and financial stability. I will address questions 7 and 8 first, by examining why the US banking system looks the way it does now.
The US Historically Had Many Banks and Bank Failures
Understanding why the US banking system looks the way it does in terms of the number of banks and banking industry concentration can help refocus policy debates that concern questions 7 and 8. Question 7 asks about how to better think about current competitive conditions, while question 8 concerns the role of the HHI in understanding the competitiveness of the US banking system.
A recent study by a Federal Reserve Bank of Philadelphia staff member shows that while it is true that deposit-based measures of concentration have indeed risen, concentration in terms of access to credit has actually declined, and today local branches of banks may matter less as predictors of lending.[1] This suggests that the SOP should probably de-emphasize local deposit concentration as a key criterion for deciding mergers. The SOP should also acknowledge US banking policy’s inherent bias against larger banks throughout history; only in recent decades has the existence of larger banks been possible. Formulating an effective SOP will require acknowledging the ills of that policy bias, which I summarize below.
The economics discipline does not provide a clear answer to the question about what the optimal number of banks (or, more generally, the number of firms in any industry) might be. Still, in the top panel in figure 1, you can see the tremendous growth in the number of commercial banks through 1921, after which that number declined significantly through the Great Depression. In the bottom panel, you can see that commercial banking assets, measured in 2010 US dollars to adjust for inflation, relative to the number of banks was flat until about 1921. This suggests that through the 1920s, the banking sector grew with the number of charters, but after the Great Depression banking assets per bank grew while the banking sector and number of charters remained fairly constant. This was the case through the 1980s, after which the number of charters began falling. It is in this sense that you may conclude the US has historically had an unusually large number of commercial banks, and until about 100 years ago that growth came largely from granting charters rather than increasing individual banks’ assets. We are still dealing with the legacy of that tremendous growth in charters.

Figure 1 shows there were already 506 chartered commercial banks in 1834, a time when banks were prohibited from operating across state lines. From 1834 to 1921, the number of banks grew from 506 to 30,812. By 1934, that number fell to 14,146, less than half of the 1921 peak value, due to the five minor banking panics in the 1920s and the major banking crises from 1930 to 1933.[2] From 1934 to 1983, the number of banks remained within a historically narrow range, between 13,114 and 14,469. Since then, reflecting the more open attitude in the US about interstate and branch banking, the number of banks has declined to 4,027, slightly lower than the number in 1884, when there were 4,113.
The rise in the number of banks through 1921 was in large part due to the reduction in bank capital requirements, with national banks tending to have more capital than other banks, thereby tending to be more resilient.[3] However, the subsequent large reduction in the number of banks through 1933 resulted from many of those banks, especially the smallest ones, being funded with relatively little capital, as the Treasury Department’s Office of the Comptroller of the Currency showed in its 1931 Annual Report.[4]
Using all available FDIC data, I can further break down the factors that contributed to changes in the number of banks after that, from 1935 to 2023, by viewing the number of banks as a population problem: the population at end of year equals the population at the beginning of year plus births minus deaths. Applied to banks, the equation looks like this:[5]
number of banks at end of year = number of banks at start of year + bank entries – bank exits by merger/acquisition/failure/liquidation
Using FDIC historical data, figure 2 shows that since 1935 the change in the number of banks has largely been due to bank exits, primarily “unassisted mergers” reflecting mergers and acquisitions and, to a lesser extent, failures arising from supervisory actions or insolvencies.
In total, since 1935, there have been an estimated 20,042 unassisted mergers and 2,880 failures arising from supervisory actions or insolvencies, offset by 10,696 new bank charters, which on net means a reduction of nearly 12,000 from these sources of change. Annual bank exits arising from mergers reached a peak of 680 in 1997 (about 7.45 percent of all banks), but the trend in the annual number of mergers has been declining since then, such that by 2023 there were only 108 (about 2.7 percent of all banks). Bank exits arising from failures peaked in 1990 at 344 (about 2.79 percent of all banks) during the Savings and Loan Crisis. Bank entry in any given year during the same period since 1935 has never exceeded 391 and was limited during the early years of the FDIC and since the 2008 Crisis.

With figures 1 and 2 in mind, an appropriate policy question to ask is not, “Why are we losing so many banks,” as recent antitrust commentary seems to be focused on, but rather, “Why did we have so many banks in the past?” A key answer to the latter question lies with the US Constitution, which prohibited states from issuing their own currency and prohibited taxation of interstate commerce.[6]
Prohibited from issuing their own currencies, states turned instead to other ways of funding expenditures. Some did so by granting state banking charters, since in the early years of the US the federal government did not issue banking charters. Because out-of-state banks could not be taxed, until the late 1970s interstate banking was nonexistent. To make matters worse, many states even prohibited branch banking. As a result, most banks in the US were small local unit banks.

Overall, what happened before the establishment of the FDIC in 1933 is a key reason why the US still has a large number of banks, and the historical prevalence of unit banks has been a key reason. Figure 3 depicts the proportion of unit banks to branch banks since the establishment of the FDIC. The figure shows that in 1935, of the 14,125 banks, 13,329 (over 94 percent) were unit banks, and fewer than 800 banks had branches. While the number of unit banks has declined significantly, even at the end of 2023 more than one in six banks in the US (689 out of 4,027 banks, or about 17 percent) is a unit bank. Having many small banks predates the existence of the FDIC and also contributed to the frequent bank crises.
Historically, Many Small Banks Meant Many Panics and Crises
With state prohibitions on branching and interstate banking, after the Panic of 1819, between 1825 and 1929, the US experienced seven major crises (1833, 1837, 1839, 1857, 1873, 1893, 1907) and twenty minor ones (1841, two in 1842, 1851, 1854–55, 1860, 1861, 1884, 1890, 1896, 1899, 1901, 1903, 1905, 1908, 1920, 1920–21, 1926, 1927 and 1929).[7] Then came the banking crises during the Great Depression from 1930 to 1933. The banks that failed were small and often unit banks. Even the Savings and Loan Crisis (1980 to 1992, and especially between 1987 and 1992) happened under what was still a small bank era.
In contrast, since Confederation in 1867, Canada has experienced recessions and bank failures but no system-wide banking crises, because having larger banks that operated across the provinces meant those banks could diversify assets and attract deposit funding across economic regions.[8] This has been the case even though Canada did not establish a central bank until 1935, did not create deposit insurance until 1967, and did experience a period in which banks consolidated.[9] Notwithstanding the differences in the size of its economy and population, because it granted bank charters at the federal level, Canada has long had a comparatively small number of banks with branches coast to coast.[10] It is therefore misleading to draw a link between banking industry concentration and financial stability, as some commentators asserted during the 2020 Antitrust Division Banking Guidelines Review about the alleged relationship between the declining number of banks and financial instability.[11]
Next, I address questions 17 and 30 by discussing the role of capital—rather than the number or size of US banks—as a key factor of the recent instability in US banking system.
Focus on Bank Capital Rather Than the Number of Banks or HHI
Question 17 asks about the FDIC’s assessment of resources, including capital, and whether other factors should be considered, and question 30 asks how the FDIC can improve the way it assesses risk. To address these points I note that leverage—more than asset risk—is a key factor in bank failures. It is a key factor because greater leverage (as captured by a lower leverage ratio) means a bank is closer to default, while asset volatility in the bank industry is on average the lowest across all industries, even though it may spike during periods of distress.[12]
In the top two panels of figure 4, I compare the average quasi-market value leverage ratio (market equity divided by the sum of book deposits and market equity) and book equity to book asset leverage ratio in Q1 1993 to Q4 2023 for banks with assets of at least $100 billion and under $100 billion. In the bottom two panels I compare the average book leverage ratios with the average Tier 1 capital ratios under Basel. The results show that on average, banks with under $100 billion in assets tend to fund with more capital than those above $100 billion. But also, by the end of the sample, the market and book equity leverage ratios for all banks was below 10 percent. From a policy perspective, more capital in the banking system would reduce financial stability risks. In the bottom two panels, the ratios show that the Tier 1 ratio exceeds the book leverage ratio, which shows how Basel measures of capital can look high even when banks have relatively low amounts of equity funding.

Figure 5 shows that in terms of estimated asset risk, banks with more than $100 billion in total assets have lower estimated asset risk on average than smaller banks.[13] Similarly, the average equity return volatility for banks with at least $100 billion in total assets lies below that for other banks, although in 2008 that was not the case.

The Right (and Wrong) Measures of Capital During the Spring 2023 Bank Failures
The proposed policy statement highlights the role of size during the spring 2023 bank failures (seepages 29,233 and 29,234). However, I would like to make a case that the real issue was that accounting measures of capital, such as Tier 1 and book leverage ratios, for these failed banks hardly moved, while market measures of capital show that shareholders were already growing wary of the condition of these banks after Q4 2021, over a year before these banks failed. To estimate the market value of assets, I use the approach summarized in footnote 13. That suggests equity investors had taken into account the deteriorating conditions, and these three banks were poorly capitalized.

My final point about the banks that failed in spring 2023 is that the total combined assets of those three banks made up only about 2.7 percent of total banking assets. In 2008, the combined assets of failed banks equaled 13.6 percent of total banking assets, while in 2009 that equaled 17.7 percent.[14]
US Banks, Small or Large, Have Always Had Political Power, but Merger Guidelines Still Reflect Small Bank Era
Lastly, a popular view today holds that small banks historically have been politically weak and only today’s large banks have too much power.[15] This view has inspired recent interest in antitrust enforcement and other measures to limit political power. In fact, small-banking interests had formed a powerful political coalition with agrarian interests that dominated banking politics from the early years of the US until the 1980s.[16] It does not stand to reason that simply legislating or regulating away banks of a certain size will affect political power.
With that in mind, I have discussed throughout how the US historically had many small banks, often unit banks, that were not allowed to operate along state lines, and the beginning of the end of the small bank era occurred in the late 1970s. The bank merger guideline reference to concentration arose during the 1960s, and while it intended to guard against local monopolies, it may actually hurt so-called “stuck” areas, primarily rural areas with community banks, where the HHI may exceed the merger guideline thresholds.[17]
As such, while local competition is important to consider in merger guidelines, by focusing on local economic concentration the agency risks potentially understating the financial stability benefits of branching that can arise from mergers.
Conclusions
From a historical perspective, higher capital seems the most important tool at policymakers’ disposal to address concerns about financial instability. While a bank merger creates a larger bank, the “Fail” in “Too Big to Fail” primarily concerns leverage and, during a crisis, activity/asset risks. Concerns about mergers creating larger banks that might fail should be counterbalanced by the recognition that larger banks can better diversify across regions than smaller banks. These concerns may also conflate the size of institutions with the fact that larger banks tend to operate with less capital than smaller banks. Accordingly, the financial stability concerns arising from mergers should focus on how low capital is for the combined bank, and not just the size of the institution.
Notes
- Jim DiSalvo, “Has the Banking Industry Become Too Concentrated?” Federal Reserve Bank of Philadelphia, Economic Insights 8, no. 1 (2017), 11–17.
- For a discussion of the minor crises in the 1920s, see Andrew Jalil, “A New History of Banking Panics in the United States, 1825– 1929: Construction and Implications,” American Economic Journal: Macroeconomics 7, (2015): 295–330. For a discussion of the banking crises during the Great Depression see Milton Friedman and Anna Schwartz, A Monetary History of the United States (Princeton University Press, Princeton, NJ: 1963), 1867–960.
- See also Eugene White, The Regulation and Reform of the American Banking System (Princeton University Press, Princeton, NJ: 1983), 1900–1929.
- Offie of the Comptroller of the Currency, Annual Report of the Comptroller of the Currency, December 7, 1931. See pp. 1–10, especially p. 2, 9 and 10, including figures 4 and 5.
- See Yongil Jeon and Stephen M. Miller, “Births, Deaths, and Marriages in the US Commercial Banking Industry,” Economic Inquiry 45, no. 2 (2007): 325–41; Robert DeYoung, “Birth, Growth, and Life or Death of Newly Chartered Banks,” Federal Reserve Bank of Chicago, Economic Perspectives 23, no. 3 (1999): 18–35.
- 6 See Richard Sylla, John Legler, and John Wallis, “Banks and State Public Finance in the New Republic: The United States, 1790– 1860,” Journal of Economic History 47, no. 2 (1987): 391–403.” See also Randall S. Kroszner and Philip E. Strahan, “What Drives Deregulation? Economics and Politics of the Relaxation of Bank Branching Restrictions,” The Quarterly Journal of Economics 114, no. 4 (1999): 1437–67.
- See Hugh Rockoff, “Oh, How the Mighty Have Fallen: The Bank Failures and Near Failures That Started America’s Greatest Financial Panics,” The Journal of Economic History 81, no. 2 (2021): 331–58; Jalil, “A New History of Banking Panics in the United States,” 295-330.
- See Michael Bordo, Angela Redish, and Hugh Rockoff, “Why Didn’t Canada Have a Banking Crisis in 2008 (or in 1930, or 1907, or. . .)?,” The Economic History Review 68, no. 1 (2015): 218–43.
- See Kam Chu, “Bank Consolidation and Stability: The Canadian Experience, 1867–1935,” Journal Financial Stability 21 (2015): 46– 60. See also Bordo, Redish, and Rockoff, “Why Didn’t Canada Have a Banking Crisis.”
- See Bordo, Redish, and Rockoff, “Why Didn’t Canada Have a Banking Crisis”; Charles Calomiris and Stephen Haber, Fragile by Design: The Political Origins of Banking Crises and Scare Credit (Princeton University Press: Princeton, NJ: 2014).
- “2020 Antitrust Division Banking Guidelines Review: Public Comments,” US Department of Justice Antitrust Division, last modified December 17, 2021, 2020 Antitrust Division Banking Guidelines Review: Public Comments,” https://www.justice.gov/atr/2020-antitrust-division-banking-guidelines-review-public-comments.
- See Stephen Matteo Miller,“How Much Would It Cost to Guarantee Debt for All Publicly Traded US Corporations?” Contemporary Economic Policy (forthcoming).
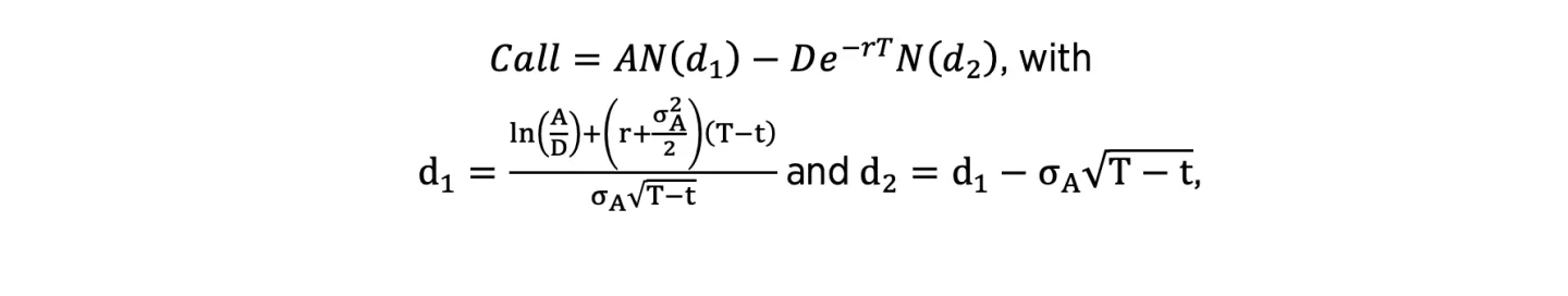
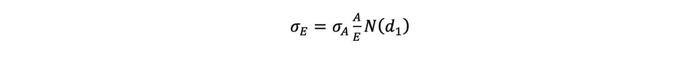
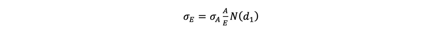
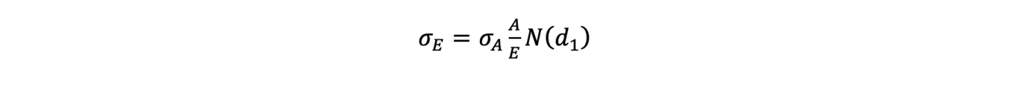
To estimate asset volatility, I use the approach reported in Miller (forthcoming). For banks, I estimate equity as a call option on its assets, assuming the bank pays no dividends, based on the formula
where E denotes the bank’s market value of equity, A denotes the market value of the bank’s total assets, D denotes the face value of the bank’s total deposits, r denotes the risk-free rate of interest, σA denotes the volatility input of the bank’s assets, t denotes the current time period and T denotes the option’s terminal date. To estimate the book value of liabilities, I subtract the quarterly book value of equity from the quarterly book value of assets in the Compustat database. To estimate the market value of equity, I use Center for Research on Securities Prices (CRSP) share prices multiplied by the number of shares, and compute the annualized quarterly standard deviation of returns from daily log returns on the market value of equity. As an estimate of the risk-free interest rate, I use the quarterly returns on a 90-day US Treasury bill from CRSP. Lastly, I assume the call option has a maturity of one year. To solve for the unobservable market value of bank assets, A, and bank asset volatility, σA, I use the formula for the above call option on a corporation’s assets and the following relationship between the equity return volatility and (unobservable) asset volatility
and solve the system of two non-linear equations in two unknowns.
- See Stephen “Steph” Miller, “Historical Perspectives on the Size of Recent Bank Failures,” FinRegRag, May 8, 2023, https://www.finregrag.com/p/historical-perspective-on-the-size.
- See Luigi Zingales, A Capitalism for the People: Recapturing the Lost Genius of American Prosperity (Basic Books, Philadelphia, PA: 2012).
- See Charles Calomiris and Stephen Haber, Fragile by Design: The Political Origins of Banking Crises and Scare Credit, (Princeton University Press: Princeton, NJ: 2014).
- See Andrew Meyer, “Market Concentration and Its Impact on Community Banks,” Regional Economist, April 12, 2018.