A Rule-Based Monetary Policy

Monetary policy remains a contentious topic, but historical evidence, particularly from the Volcker–Greenspan era, suggests that the rule-based approach would offer greater predictability, stability, transparency, and consistency in Fed policy

There is no consensus over the optimal monetary policy regime either within the economics profession or among the public. That is, what does the Federal Open Market Committee (FOMC) control, and how does it exercise that control? FOMC communication focuses on forecasts of the economy accompanied by a path for the funds rate presumed to cause the economy to grow in a way that results in achievement of the legislated dual mandate: “stable prices” and “maximum employment.”1 How does the funds rate, which is the marginal cost that banks pay for obtaining additional reserves, translate into the behavior of firms and households required to achieve these goals? Monetary policy characterizes the consistency in the behavior of the FOMC over time. Because the FOMC does not communicate the rationale for its policy actions in terms of the underlying consistency in its behavior—that is, in terms of a rule—the public must discover on its own what the optimal monetary policy regime is.

In the first section, I argue that monetary policy during a particular historical period of time has fallen into one of two classes, depending on the following criteria: Is the FOMC focusing on maintaining price stability while allowing market forces free rein to determine employment? Alternatively, is the FOMC attempting to balance off the achievement of low inflation and a socially desirable low rate of unemployment with each taken as separate, competing objectives? In a way that corresponds to the two aforementioned criteria, the rule (the underlying consistency) characterizing monetary policy will be based on either a difference version or a gap version of a Taylor rule. These two choices correspond to the two ways in which the FOMC has implemented the general policy invented by William McChesney Martin, which he termed “leaning against the wind.” The difference rule summarizes the policy in the Volcker- Greenspan era that produced what came to be known as the Great Moderation.2

I then review the Federal Reserve’s argument against a rule-based policy and in favor of discretion. This section provides evidence disputing the Fed contention that discretion is desirable because it allows the FOMC leeway to respond to unusual events. It also points out that the Great Moderation of the Volcker- Greenspan era was associated with a rule-based monetary policy. In the third section, I summarize empirical evidence that the FOMC followed a nominal GDP targeting rule consistent with a Taylor rule in the form of a difference rule during periods of price stability. Finally, I conclude with the argument that Fed accountability requires a rule-based monetary policy. Beckworth, 2024, makes the argument for a rule in the form of a path for nominal output.3

Uncovering the Consistency in FOMC Behavior

FOMC policymakers do not operate in a political vacuum. At times when the political system has favored price stability, the FOMC has focused on price stability or its restoration from a prior period of inflation. At times when the political system has favored low unemployment to lessen social divisions, the FOMC has focused on trading off between a socially desirable low rate of unemployment and low inflation. Similarly, the economics profession has been divided into two groups, with one group partisan to a focus on price stability and the other group partisan to juggling the two objectives of low inflation and low unemployment.

The first group, which is broadly classified here as “quantity theorist,” posits that the price level is a monetary phenomenon that can be controlled independently of the behavior of underlying growth in potential real output. Within a framework of price stability, the price system, which is embodied in the behavior of the “natural” rate of interest, keeps output growing at potential and works well to maintain the full employment of resources. The model corresponding to this view is represented by Goodfriend-King. 4 In it, the optimal policy is one of price stability, which turns over to the real- business- cycle (RBC) core of the economy the determination of real variables. In this sense, the policy is “nonactivist.”

The second group, which is broadly classified here as “Keynesian,” posits that the price level is a nonmonetary phenomenon that requires manipulating unemployment to maintain price stability. The price system works only poorly to maintain full employment. The FOMC is forced into making ongoing tradeoffs between stable prices and maximum employment in a way captured by the structural relationship known as the Phillips curve. The Blanchard- Gali model corresponds to this view.5 As evident in the term Blanchard and Gali assign to the combination of full employment and price stability in the Goodfriend- King model—namely, divine coincidence—in their model, some combination of inflation and slack in the economy (unemployment in the labor market) is optimal. In this sense, the policy is “activist.”

Each school, quantity theorist or Keynesian, implies a different optimal rule (underlying consistency expressed as an FOMC reaction function). The difference will appear as one of two variations in the basic policy pioneered by FOMC Chairman William McChesney Martin following the 1951 Treasury–Federal Reserve Accord. Martin termed the basic policy “leaning against the wind” (LAW). With these procedures, the FOMC moves short- term interest rates in a common sense way to offset unsustainable strength or weakness in the economy. The criterion is whether the economy’s rate of resource utilization is increasing or decreasing in a persistent way. One obvious measure is whether the unemployment rate is falling or rising.6

With LAW, the FOMC moves interest rates in a measured, persistent way. Because of the lags in the economy’s response to these rate changes, the FOMC needs some criterion for when to cease them. This criterion separates LAW into two variants corresponding to the aforementioned classification as nonactivist and activist. In the nonactivist version, which focuses on price stability, the FOMC makes significant preemptive increases in interest rates that are based on evidence of stress in rates of resource utilization (overheating in the labor market). The motivation is to prevent the emergence of inflation.

In the activist version, which focuses on treating low unemployment as a separate objective, the FOMC needs some criterion for when to cease lowering interest rates and start raising them during easing cycles. The emergence of inflation signals that the unemployment rate is at full employment. The difference in the two versions of LAW can be characterized by LAW with preemptive interest rate changes and LAW with cyclical inertia in interest rate changes. The difference in the two monetary policies appears in the FOMC’s choice of one of two variants of a Taylor rule.

Nonactivist LAW procedures are based on a difference rule, whereas activist LAW procedures are based on a gap rule. Hetzel calls these two variants LAW with credibility and LAW with tradeoffs.7 LAW with credibility is a difference rule because the objective is to stabilize the economy’s rate of resource utilization. That is, the FOMC is watching whether the economy is growing unsustainably fast or slow and is watching whether the economy’s rate or resource utilization is growing or falling. The rate of output growth is then determined by the unfettered operation of market forces rather than by the FOMC. LAW with tradeoffs is a gap rule because the FOMC trades off between the magnitude of an output gap and the magnitude of an inflation gap.8 

Taylor provided an example of a gap rule in that monetary policy actions are predicated on an inflation gap and an output (unemployment) gap.9 He showed that the following “Taylor rule” with gp and gx equal to 0.5 predicted the funds rate reasonably well from 1987 through 1992:

Formula (1)

The funds rate is it. The constant term, 2, is the assumed long- run average of the real rate of interest. The prior four- quarter inflation rate is pt and the FOMC’s inflation target is p*. Taylor assumed that the FOMC’s inflation target has remained unchanged at 2 percent. The output gap, xt, is the percentage deviation of real GDP from a trend line measuring potential output.

Although the Taylor rule expressed as formula (1) fits the data, the issue of how to interpret it remains. One issue is whether it is a reduced form or a genuine structural measure of the FOMC’s reaction function. A characteristic of the Volcker- Greenspan era is the sensitivity of the FOMC to the inflationary expectations of the bond market as reflected in “inflation scares.”10 The “bond market vigilantes,” who were burned by the inflation of the 1970s, raised bond rates at any sign that the FOMC was allowing the economy to grow at an unsustainable rate.11 Given the FOMC’s desire to reestablish a nominal anchor in the form of the expectation of price stability, the FOMC raised the funds rate in response to these inflation scares. The resulting discipline imposed on monetary policy caused the FOMC’s LAW procedures to incorporate preemptive increases in the funds rate to prevent the emergence of inflation and effectively eliminated any attempt to resurrect the 1970s policy of trading off between low inflation and low unemployment.

Another issue is whether the form of the Taylor rule in formula (1) would be optimal even if it were structural. Taylor fitted it over a period in which monetary policy was contractionary. During that period, the FOMC was attempting to lower inflation from the 4 percent level inherited from the Volcker era to price stability. To do so, the FOMC had to create a negative output gap. The FOMC was responding to realized inflation. The issue then arises of whether a rule such as formula (1) would be optimal in a monetary policy regime in which the FOMC was intent on maintaining price stability in an environment of actual and expected price stability.

An estimation of formula (1), including the period of the Volcker disinflation in which, in response to double- digit inflation, the FOMC allowed the funds rate to rise to a level significantly above inflation, has led to formulation of the Taylor principle. Taylor contended that, over time, monetary policy has improved because the FOMC has responded more vigorously to deviations of realized inflation from the 2 percent target by increasing the magnitude of the coefficient on the inflation term to a value above one.12 Formula (1) then fits over a period in which the FOMC was manipulating actual inflation and output gaps as competing objectives, in this case by trying to lower inflation.

However, the fitted rule is not optimal if the ideal is to prevent the emergence of inflation. Given the long lags between an increase in inflation and an expansionary monetary policy, the FOMC is behind the curve if it allows inflation to emerge. Friedman wrote: 

For most major Western countries, a change in the rate of monetary growth produces a change in the rate of growth of nominal income about six to nine months later. . . . The effect on prices, like that on income and output, is distributed over time, so that the total delay between a change in monetary growth and a change in the rate of inflation averages something like two years.13 

Arnaut and Bengali offered similar evidence: “An increase in the federal funds rate typically starts exerting downward pressure on the most responsive prices after about 18 months.”14

By incorporating preemptive increases in the funds rate to prevent the emergence of inflation, the underlying rule in the Volcker- Greenspan era maintained a focus on price stability rather than exploiting Phillips tradeoffs. With this rule, the FOMC stabilized the rate of growth of nominal output relative to the rate of growth of potential output subject to the constraint of maintaining the difference equal to the target rate of inflation. The rule is LAW with credibility in that the funds rate moves to offset unsustainable changes in the economy’s rate of resource utilization in a way that eliminates cyclical inertia in the funds rate. The key insight is that because the rule stabilizes the economy’s rate of resource utilization by allowing market forces to maintain growth in real output equal to growth in potential output, market forces have free rein to determine the rate of growth of potential output. A nominal GDP rule that sustains price stability is then a difference rule, not a gap rule, in that policy is aimed at eliminating a difference in the rate of growth of nominal output and the rate of growth of potential output.

In sum, with a difference rule, the FOMC stabilizes the economy’s rate of resource utilization and thus allows the unfettered operation of market forces to maintain real output growing at potential. The FOMC achieves price stability indirectly through the credibility of its rule that causes firms setting prices for multiple periods to set them on the basis of the expectation of price stability. With the difference rule, the discipline on monetary policy requires that the FOMC set the funds rate path so that its forecasts of nominal (dollar) GDP growth consistently align with its forecasts of real potential output growth. With the gap rule, inflation and unemployment are separate, competing targets. With the gap rule, the discipline on monetary policy is to manipulate the difference between forecasts of nominal GDP growth and forecasts of real potential output growth to move the economy back and forth along a Phillips curve.

A Rule-Based Policy Is Consistent with Economic Stability

The Board of Governors website contains a forceful repudiation of the desirability of a monetary policy conducted according to a rule. Board commentary states:

Some academic research on policy rules contends that tying monetary policy to a simple and unvarying policy rule can simplify the central bank’s communications with the public and make monetary policy predictable and relatively easy to understand. . . . The conclusions of this academic research depend on a number of assumptions that are unlikely to hold in the real world. For example, this research assumes that the structure of the economy is well understood by policymakers and the public, and that the economy can be represented fairly accurately by a small number of equations. However, the true structure of the economy is not known for certain; it is highly complex, and the simple models used by researchers do not capture that complexity. Furthermore, in the real world, the structure of the economy changes over time. . . . The economic models that academic researchers typically use to study the implications of following a simple policy rule also assume that any unexpected events that will affect the economy in the future will resemble unexpected events that occurred in the past—that is, that the types and range of shocks affecting the economy in the future will not be all that different from the shocks that have hit the economy before. But in practice, the nature and magnitude of the shocks hitting the economy can and do change over time. A simple policy rule that leads to good economic performance under one constellation of shocks is not guaranteed to lead to similarly good performance under a different constellation of shocks.

Moreover, the academic research literature on policy rules typically assumes that households and businesses would fully and immediately understand what the rule would tell the central bank to do in all future economic scenarios as well as the implications of the central bank’s policy actions for the economy. If these assumptions do not hold in the real world, then the benefits that the models claim for simple rules will not be fully realized.15 (boldface in original)

Putting in place a rule-based stable monetary regime will require a demonstration of how thoroughly at odds this statement is with historical experience. The FOMC should perform this task through a disinterested examination of its own history that explains what rules stabilized and what rules destabilized the economy.

FOMC spokespersons typically protest that a rule would tie their hands in response to an emergency. By assumption, in the event of a large, unanticipated shock to the economy, policymakers will always do the right thing. As a matter of history, however, that assumption is hard to defend. The examples of the FOMC’s response to the October 1987 stock market crash and its response to the Asia crisis in the fall of 1998 make the point. In each case, the resulting forecast of recession did not materialize. The FOMC responded with stimulative monetary policy, which increased inflation. Another example occurred in 1970, when inflation rose to 6 percent while the unemployment rate remained at 6 percent, well above the presumed 4 percent full employment rate. The FOMC responded by assuming that inflation was a cost–push phenomenon and should be dealt with by income policies rather than by moderate money growth.

During the Great Recession, with the cyclical peak in December 2007 and the cyclical trough in June 2009, the financial disruption following the failure of Lehman Brothers on September 15, 2008, constituted an unanticipated shock. The cash investors responded to a surprise retraction of the financial safety net by withdrawing the short- term funds financing the illiquid, dodgy mortgages held by the investment banks and depositing them in too-big-to-fail banks such as JPMorgan Chase. The Fed responded with a variety of lending programs to undo the flight to safety. However, the economy had already entered a serious recession in the summer of 2008. The strength in the second quarter of 2008 was due to the one- time stimulus of households’ spending down the Bush rebates. The FOMC would have been better served by a monetary stimulus to offset the shock and maintain growth in nominal spending.16

The March 2020 response to the pandemic is another case. The pandemic was a negative supply shock. People stopped going to restaurants, not because they did not have enough money in their pockets but rather because they were afraid of the virus. Labor had to shift from the service sector to the goods sector. Even within the Phillips curve framework used by the FOMC, the extent of monetary stimulus made little sense. The NAIRU (nonaccelerating inflation rate of unemployment), which is presumed to be consistent with no increase in inflation, must surely have risen well above the prepandemic unemployment rate of 3.5 percent. More generally, the measured output gaps used in standard gap Taylor rules rose significantly in response to the decline in output caused by the disruption of the virus. Epidemic- adjusted output gaps rose significantly less.

As of 2024, the FOMC is committed to returning inflation to its target of 2 percent. Assuming the FOMC is successful, it must still answer the question of what monetary policy regime to install to maintain inflation at a level near price stability. Given the increase in underlying inflation in 2021 and 2022 and the subsequent concern over whether the FOMC could restore price stability without a recession, it makes sense that the FOMC would return to the rule followed in the Volcker- Greenspan era, which maintained reasonable price stability after the mid- 1990s (a difference Taylor rule).

Ideally, the FOMC would commit to such a rule by making it explicit. Such explicitness would require that the FOMC communicate in terms of the discipline imposed on its policy actions to maintain a stable nominal anchor. In the Volcker- Greenspan era, that discipline took the form of preemptive increases in the funds rate initially undertaken to establish credibility in the bond markets. Having established credibility, after 1994, it took the form of preemptive increases in the funds rate sufficient to prevent overheating in the labor market. Until the early 1990s, the FOMC also watched the growth rate of M2 because of its relation to nominal GDP growth.

Until the early 1990s, the FOMC included a table of “Ranges of Growth of Monetary and Credit Aggregates” in its monetary policy reports to Congress. For example, the February 1990 Monetary Policy Report mentioned M2 63 times. One excerpt illustrates: 

With M2 and M3 below the lower bounds of their annual ranges in the spring, the Federal Reserve in June embarked on a series of measured easing steps that continued through late last year. . . . With the economic situation not materially different from what was then anticipated, the FOMC reaffirmed the tentative 3 to 7 percent growth range for M2 in 1990 that it set last July. This range, which is the same as that used in 1989, is expected by most FOMC members to produce somewhat slower growth in nominal GNP this year.17

Board of Governors staff members used M2 in the P- star model to predict inflation.18 Following the passage in 1991 of the Federal Deposit Insurance Corporation Improvement Act, which mandated that FDIC insurance premiums be calculated on the basis of bank deposits, banks kept interest paid on time deposits low enough to push out interest- sensitive depositors demanding market rates of interest, and M2 velocity rose. The FOMC then stopped using M2. However, the point is that during the Volcker- Greenspan era, the FOMC imposed a discipline over time on the funds rate to ensure a return to price stability.

Making the case for a rule would have to deal with the stated opposition to any kind of rule expressed especially at the Board of Governors. No doubt the opposition is sincere, but disingenuous elements may also arise. To defend itself from the populist attacks coming from Congress, the FOMC must deal with the charge that raising interest rates demonstrates a lack of concern for unemployment. The argument for a rule that depends on using the stabilizing properties of the price system to maintain full employment would pass over the heads of these populists. The language of discretion is also advantageous because any instability in the economy or the financial system can be portrayed as arising from instability in the private sector rather than from monetary or regulatory policy. The role of the Fed is to mitigate this instability. A rule supposedly would tie the Fed’s hands in this regard undesirably.

A rule does not constrain the FOMC from responding to negative shocks to output. On the contrary, as long as the FOMC has a credible rule that assures financial markets that its future behavior ensures price stability, the stabilizing properties of the price system have the maximum freedom to work. The funds rate could fall to zero or be pushed to a negative value, if necessary, and the Fed could engage in quantitative easing and committed forward guidance without raising expected inflation.19 Despite the rhetoric of discretion, the FOMC in practice imposes consistency on monetary policy.

The argument against a rule is that the FOMC can exercise predictable control over inflation and employment with discretion. However, such predictable control requires an underlying consistency in policy actions that shapes how the yield curve—which transmits monetary policy to the economy—responds to unforeseen incoming information on the economy. For example, in response to unforeseen strength, the yield curve should rise, with all the rise in real forward rates and none in inflation premiums. This outcome is what imposed the discipline in the Volcker- Greenspan era.

Giving Content to a Difference Rule

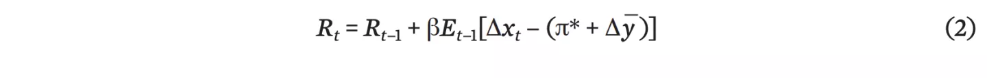
Two economists, Joshua Hendrickson and Athanasios Orphanides, have shown empirically that price stability requires a nominal GDP targeting rule. It takes the form of a difference Taylor rule that moves the funds rate in a way that stabilizes the economy’s rate of resource utilization, causing real output to grow at potential. The credibility of the rule ensures price stability by causing price setters to set dollar prices without incorporating an inflation premium.

Joshua Hendrickson estimated a straightforward nominal GDP target rule for the Volcker era and the first part of the Greenspan era in which growth in real potential output was stable.20 He could then make funds rate changes solely a function of predicted changes in nominal GDP growth while ignoring fluctuations in potential output growth.

Hendrickson wrote:

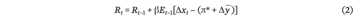
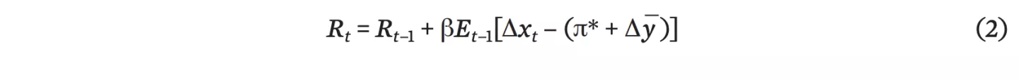
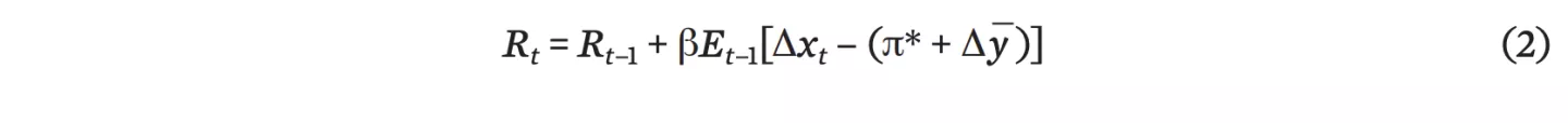
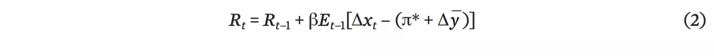
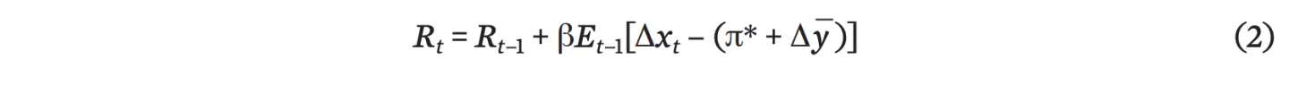
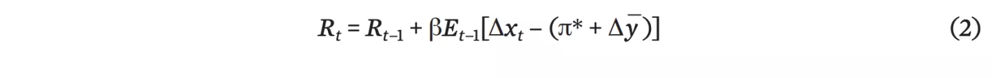
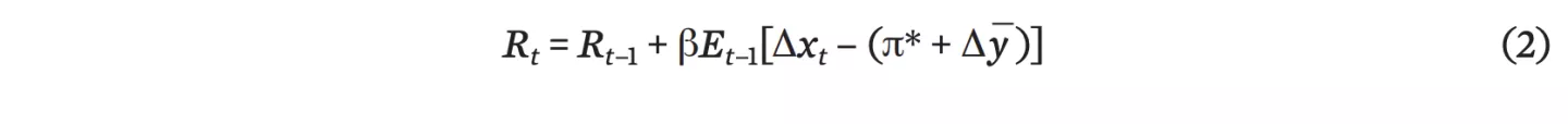
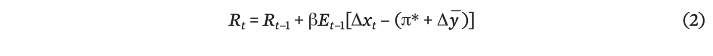
The change in monetary policy beginning in 1979 is reflected in the Federal Reserve’s response to expectations of nominal income growth rather than realized inflation. . . . I provide evidence for this hypothesis by estimating the parameters of a monetary policy rule in which policy adjusts to forecasts of nominal GDP [using Board of Governors Greenbook forecasts] for the pre- and post- Volcker eras. The full rule is formula (2).

Formula 2

Rt is the funds rate. Et–1Dxt is the forecasted value of growth in nominal output for period t made at the beginning of period t. p* is the inflation target and Dy is growth in potential output. With the inflation target and growth in potential output constant, formula (2) simplifies to (3). . . . The change in the federal funds rate . . . is adjusted to deviations of the nominal income growth forecast from its implicit target composed of the desired rate of inflation and trend real output growth.

Formula 3

[Equation (3)] is estimated over three subsamples 1970:1–1979:3, 1983:1–1987:3, and 1987:4– 1997:4. These periods correspond to the stop–go era, the post-monetary targeting Volcker era, and the Greenspan era prior to the period of unpredictable changes in productivity. As was argued above, if the overhaul of doctrine hypothesis is correct, one would expect to see greater responsiveness of monetary policy to nominal income growth.

For the period 1970Q1 to 1979Q3, b is insignificant both in absolute terms and statistically. In the latter two periods, b . . . becomes statistically significant at the 10% and 1% levels, respectively.21 

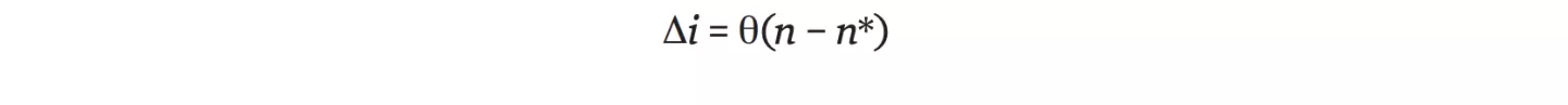
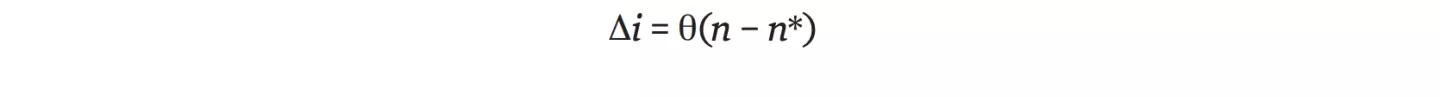
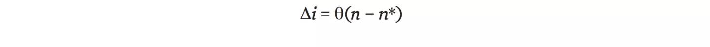
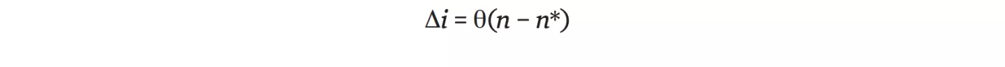
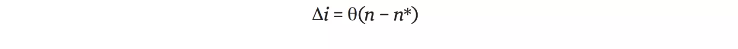
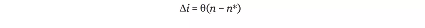
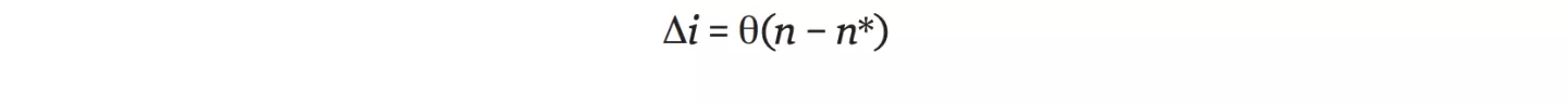
Orphanides fit a difference rule over the period starting in the early 1990s, when the FOMC basically maintained price stability with the exception of two episodes: the 2008–2009 recession with disinflation and the 2021–2022 inflation.22 The rule causes changes in the funds rate to counteract forecast deviations of nominal GDP growth from forecast potential output growth. Orphanides termed the latter the “economy’s natural growth rate” in that it is determined by real factors such as the economy’s productivity. Orphanides explained: “In real time, the natural growth rule employs short-term forecasts to check whether nominal income grows in line with the economy’s natural growth rate.”23 

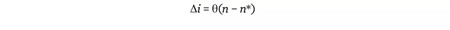
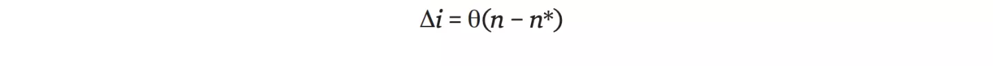
Orphanides defined the “natural growth rate” to equal growth in potential output plus 2 percent of the inflation target. He described the rule as follows:

According to this rule, the change of the federal funds rate from the previous quarter can be guided by the difference between the projected growth of nominal income, n, and the natural growth rate, n*, defined as the sum of the Fed’s inflation goal, p*, and the growth rate of real potential GDP, g*. The rule takes the difference form:

Formula 4

where Di is the rule’s prescription for the quarterly change of the policy rate from the previous quarter, and θ is a parameter governing how responsive policy should be to the projected imbalance.24

Orphanides used the real- time forecasts from the Survey of Professional Forecasters published by the Federal Reserve Bank of Philadelphia. The estimated rule flags the Great Recession and the 2021–2022 rise in inflation as exceptions to the rule. In the former episode, after the April 2008 meeting, the FOMC did not lower the funds rate in a timely way despite a weakening real economy. In the latter episode, the FOMC ignored the strength in nominal GDP growth that began in 2021.

Making the Fed Accountable Through a Simple, Explicit Rule

As long as the Fed uses the language of discretion, there can be no real oversight either by the public or by Congress. The FOMC should formulate a consensus Summary of Economic Projections that includes a projected path for nominal output growth and potential output growth as well as a path for the funds rate. At the post–FOMC meeting press conference, the chair should explain how the funds rate path would cause the difference in these two growth rates to converge to the inflation target. The character of the press conference would change from a game of trying to tease out from the chair additional nuance for the likely path of the funds rate to a serious discussion of the FOMC’s forecast compared with the forecasts of other professional forecasters.

The monetary framework is a fragile part of the constitutional framework without a widespread understanding of the optimal rule that supports it. The language of discretion that the FOMC uses to communicate discourages the required debate. With this language, the FOMC lacks systematic procedures for learning from past experience what the optimal rule is. The implicit message is that period by period the FOMC does the right thing without the need to discipline “the right thing” over time. Monetary policy then is not accountable and is subject to the vagaries of the political appointments process. Stability requires a rule that is widely understood and supported by the public.

About the Author

Robert Hetzel is a retired economist from the Federal Reserve Bank of Richmond. He received an AB and PhD from the University of Chicago. While at Chicago, he was in the Money and Banking workshop and did his thesis work under Milton Friedman. He joined the research department at the Federal Reserve Bank of Richmond in 1975, where, as Senior Economist and Research Advisor, he counseled the Bank’s president on matters concerning participation in FOMC meetings. Hetzel has written three books on the history of the Federal Reserve System: The Monetary Policy of the Federal Reserve: A History (2008) and The Great Recession: Market Failure or Policy Failure? (2012), both published by Cambridge University Press, and The Federal Reserve—A New History (2022), published by the University of Chicago Press. Hetzel is a senior affiliated scholar at the Mercatus Center and a fellow in the Institute for Applied Economics at Johns Hopkins University.

Notes
  1. Federal Open Market Committee, “Statement on Longer- Run Goals and Monetary Policy Strategy,” adopted effective January 24, 2012, as reaffirmed effective January 30, 2024, https://www.federalreserve.gov/monetarypolicy/files/ FOMC_LongerRunGoals.pdf.

  2. Joshua R. Hendrickson, “An Overhaul of Federal Reserve Doctrine: Nominal Income and the Great Moderation,” Journal of Macroeconomics 34, no. 2 (2012): 304–17.

  3. David Beckworth, “The Fed’s 2024–25 Framework Review: Optimizing the Dual Mandate Through Nominal GDP Level Targeting” (Mercatus Policy Brief, Mercatus Center at George Mason University, 2024).

  4. Marvin Goodfriend and Robert G. King, “The New Neoclassical Synthesis and the Role of Monetary Policy,” NBER Macroeconomics Annual 1997, vol. 12, ed. Ben S. Bernanke and Julio Rotemberg, 231–96 (University of Chicago Press, 1997).

  5. Olivier Blanchard and Jordi Gali, “Real Wage Rigidities and the New Keynesian Model,” Journal of Money, Credit, and Banking 39 (February 2007): 35–65.

  6. Robert L. Hetzel, The Monetary Policy of the Federal Reserve: A History (Cambridge, MA: Cambridge University Press, 2008); Robert L. Hetzel, The Great Recession: Market Failure or Policy Failure? (Cambridge University Press, 2012); Robert L. Hetzel, The Federal Reserve System: A New History (University of Chicago Press, 2022). 

  7. Hetzel, The Federal Reserve System

  8. The intent of restricting the rules considered here to these two variants is to facilitate debate. Each represents a framework actually used by the FOMC. The difference rule captures the spirit of the underlying consistency of policy in the Volcker- Greenspan era. The gap rule captures the spirit of the Burns-Miller era. There are, of course, other rules. For example, Beckworth and Horan argue that the FOMC’s policy of flexible- average- inflation targeting (FAIT), which was pursued in response to the pandemic and called for making up shortfalls of inflation from target, “should not be abandoned but improved upon by applying symmetry to its makeup policy and treatment of supply shocks. Doing so would give FAIT the properties of a nominal GDP- level target.” See David Beckworth and Patrick Horan, “The Fate of FAIT: Salvaging the Fed’s Framework” (Mercatus Working Paper, Mercatus Center at George Mason University, October 2022), abstract.

  9. John B. Taylor, “Discretion versus Policy Rules in Practice,” Carnegie- Rochester Conference Series on Public Policy 39 (1993): 195–214.

  10. Marvin Goodfriend, “Interest Rate Policy and the Inflation Scare Problem,” Federal Reserve Bank of Richmond Economic Quarterly 79, no. 1 (1993): 1–24.

  11. Mehra estimates a Taylor rule, which shows the sensitivity of monetary policy to the behavior of the bond rate. See Yash P. Mehra, “The Bond Rate and Estimated Monetary Policy Rules,” Journal of Economics and Business 53 , no. 4 (2001): 345–58.

  12. John B. Taylor, “A Historical Analysis of Monetary Policy Rules,” in Monetary Policy Rules, ed John B. Taylor, 319–47 (University of Chicago Press, 1999).

  13. Milton Friedman, “Quantity Theory of Money,” in The New Palgrave: A Dictionary of Economics, vol. 4, ed. John Eatwell et al., 1–40 (Stockton Press, 1987), 31.

  14. Zöe Arnaut and Leila Bengali, “How Quickly Do Prices Respond to Monetary Policy?” (FRBSF Economic Letter 2024-10, Federal Reserve Bank of San Francisco, April 8, 2024), 3.

  15. “Challenges Associated with Using Rules to Make Monetary Policy,” Board of Governors of the Federal Reserve System, last modified March 8, 2018, https://www.federalreserve.gov/monetarypolicy/challenges-associated-wit….

  16. In the first paragraph of the October 22, 2008, Greenbook, the Board of Governors staff wrote: “The extent of the adverse effects of the financial crisis on real activity is difficult to gauge with any precision. But we expect that it will impose appreciable restraint on economic activity. Moreover, the incoming data on consumer and business spending, industrial production, and employment suggest that aggregate output had already decelerated sharply during the summer—before the recent intensification of financial turmoil—and by more than we had earlier anticipated.” Board of Governors of the Federal Reserve System, Current Economic and Financial Conditions: Summary and Outlook, Part 1 (October 22, 2008), I- 1. The combination of disinflation and recession can only have occurred with a contractionary monetary policy. See Hetzel, The Federal Reserve System, chapters 21 and 22.

  17. Federal Reserve’s First Monetary Policy Report for 1990: Hearing before the S. Comm. on Banking, Housing, and Urban Affairs, 101st Cong., 2nd sess. (February 22, 1990), 8–9. 

  18. Jeffrey J. Hallman et al., “M2 Per Unit of Potential GNP as an Anchor for the Price Level” (Staff Study 157, Board of Governors of the Federal Reserve System, April 1989).

  19. J. Alfred Broaddus Jr. and Marvin Goodfriend, “Sustaining Price Stability,” Federal Reserve Bank of Richmond Economic Quarterly 90 (Summer 2004): 3–20.

  20. Joshua R. Hendrickson, “An Overhaul of Federal Reserve Doctrine: Nominal Income and the Great Moderation,” Journal of Macroeconomics 34, no. 2 (2012): 304–17.

  21. Hendrickson, “An Overhaul of Federal Reserve Doctrine.” 

  22. Athanasios Orphanides, “Enhancing Resilience with Natural Growth Targeting” (IMFS Working Paper 200, Institute for Monetary and Financial Stability, Goethe University Frankfurt, February 2024).

  23. Orphanides, “Enhancing Resilience with Natural Growth Targeting,” 9.

  24. Orphanides, “Enhancing Resilience with Natural Growth Targeting,” 7.

Mercatus AI Assistant
Ask questions about this research.
GPT Logo
Mercatus AI Research Assistant
Ask questions about this research. Mercatus Chatbot AI More Details
Suggested Prompts:
Ask us anything. We use OpenAI's ChatGPT 4o base model to answer any question about Mercatus research.